无机固态电解质卤化物SE材料制备工艺和分析,佳美机械梅工18540392279
近年来,全固态锂离子电池(All-Solid-State Batteries, ASSBs)以其更高的安全性、潜在能量密度和长循环寿命,正成为新一代储能技术的热门研究方向。其中,固态电解质(Solid Electrolyte, SE)是实现ASSBs性能提升的核心关键材料。相比传统液态电解质,SE可避免可燃溶剂、漏液及枝晶刺穿等问题,从根本上提升电池安全性与稳定性;然而,当前SE在离子电导率、机械加工性(如可塑性、成膜性)及电极界面稳定性方面仍有诸多挑战。如何同时实现高离子电导率、易成形加工和良好界面接触,是固态电解质从实验室向大规模应用迈进的关键难题。
在众多无机固态电解质中,卤化物基SE(如Li3YBr6及其缺锂衍生物)以其高离子电导率和较好的界面稳定性受到关注。传统无机SE通常为脆性固体,难以制备成薄膜并实现与电极的紧密接触,限制了其应用场景的拓展。针对这一难题,本研究团队通过对Li3–xYBr6–x固态电解质的“缺锂设计”,精确调控其晶体结构和微观离子分布,成功获得兼具高离子导电性(约4.49 mS/cm @ 25℃)与优异机械可塑性(可切片、可模塑)的新型固态电解质。这种SE不仅可在室温下保持良好传导特性,还能通过“切片”和“冷压”工艺实现精确可控的膜厚度和形状,为提升ASSBs能量密度和制备工艺灵活性提供了新思路。
简单来说,这项研究的意义在于:在当前全固态电池研究浪潮中,为SE的可加工性与高性能兼得提供了有力示例。通过化学组分及结构调控,该团队证明了SE不仅能有高的离子传导率,还可通过巧妙设计实现材料的柔性与可塑性。这一成果或将助推固态电池从实验室向大规模产业应用的关键转化,为下一代能源存储设备的设计和制造提供理论与实践参考。
【结果与讨论】1、实验设计与材料制备
研究团队以Li3YBr6为基底,通过控制锂缺陷(Li-deficiency),合成系列组成为Li3–xYBr6–x(x=0至0.50)的固态电解质材料。合成路线采用共熔(co-melting)和冷压(cold-press)工艺:
首先,将原料锂盐和溴化物在高温下熔融,并通过快速冷却获得透明晶体。
接着,通过机械切片方法制备不同厚度(如0.05 mm至1.00 mm)的电解质薄片(见论文中图1a所示的样品照片)。
此过程直观地展现了该SE的可塑特性:样品不仅拥有类似塑料膜般的“可切割和可塑性”,还能在薄膜状态下保持其高离子电导性能。团队在常用惰性气氛保护条件下完成上述操作,确保材料不受空气和水分侵蚀。此外,研究中使用了X射线衍射(XRD)、同步辐射XRD、固态核磁共振(NMR)、交流阻抗谱(EIS)、初步电池组装与测试等多项表征手段,以全面探究材料的结构和性能关联。
图1:电解质材料。2、微结构与相纯度分析
论文通过高分辨率XRD和Rietveld精修手段研究了Li3–xYBr6–x系列的晶体结构与相纯度变化。结果显示:
Li缺陷的引入使得晶格中Y与Br的分布及晶体堆垛方式发生调整,从而在立体结构上形成了有利于锂离子迁移的通道。
- 相较于无Li缺陷的标准Li3YBr6,缺锂样品(如x=0.35的Li2.65YBr5.65)在晶格中展现出更大的多面体空隙和更低的离子迁移能垒。
- 通过精细结构解析与相定量分析,发现锂缺陷可减少不良LiBr杂相含量,有效提升主相纯度,这对于提高离子传导性能具有积极意义。
在图2中,XRD结构模型直观展示了Li缺陷调控下晶体结构从紧密堆垛到更有利锂扩散通道的改变。当缺锂程度x=0.35时,Li离子在晶格中显示出更为三维立体化的扩散路径,这与随后EIS测量的高电导率表现正相关。
图2:Li3−xYBr6−x 的高分辨率X射线衍射图和细化。
3、离子电导率测定与电化学性能分析
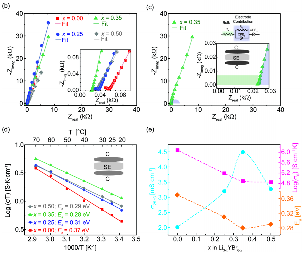
为了验证材料的实际性能,研究团队采用交流阻抗谱(EIS)对不同x值的Li3–xYBr6–x样品进行了离子电导率测量(见论文中图3相关数据)。
- 实验结果显示,当x=0.35时,获得了4.49 mS/cm (25℃)的最高离子电导率,并且激活能仅为0.28 eV,显著优于标准Li3YBr6。
- 电导率随着Li缺陷程度的增加而先升后降,这表明适度的Li缺失能够优化空间结构,从而为Li^+提供更高效的迁移通道;但过高的Li缺失可能引入过多缺陷和相界,影响整体结构连续性和导通效率。
- 同时,研究通过Nyquist图拟合证实了材料界面阻抗较低,这意味着在实际电池组装中可更好地与正负极界面接触,从而降低界面过电位。整体而言,这些特性使得缺锂Li3–xYBr6–x在全固态电池中的应用充满潜力。
通过电化学循环测试(如将该SE搭配Li3PS4、TiS2或InLi合金电极进行初步全电池试验),研究团队发现:
- 含x=0.35缺锂SE样品在多种放电倍率下展现出优异的稳定循环性能和较高的可逆容量。与传统SE相比,该样品的初始容量和后续循环保持性能均有明显提升。
- 尤其在快速充放电条件下,材料依然能维持较高的离子传输效率,显示出较好的倍率性能,这对满足实际应用中高功率要求的固态电池而言十分关键。
图3:交流阻抗谱(EIS)与活化能。
4、NMR和AIMD模拟下的离子动力学解析
为了从微观层面解析Li缺陷对离子传输机制的影响,团队借助固态核磁共振(NMR)和原子尺度分子动力学模拟(AIMD)对离子行为进行探究(见图4、图5和图6)。
NMR结果:
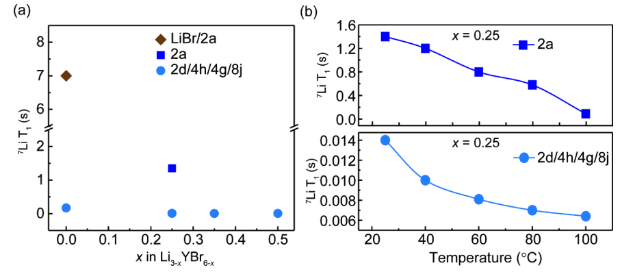
固态7Li和19F(或79Br)MAS NMR谱的分析表明,Li缺陷诱导下的结构改变会影响局部Li位点分布,进而减少晶格中Li+局域陷阱。此外,通过测量NMR自旋-晶格弛豫时间(T1),观察到Li+在缺锂SE中有更快的局域动力学响应。这意味着离子在材料内部的扩散通道更畅通无阻,从而实现更高离子电导率。AIMD模拟:
利用AIMD对Li3–xYBr6–x在原子尺度进行模拟表明,随着x值增加至适中的范围内,Li+在晶体中的平均平方位移(MSD)显著提高。这代表Li离子在更广泛的三维路径上扩散,从而实现对宏观离子电导率的提升。
研究团队还利用BVSE(键价场能量)分析方法得出,缺锂诱导的结构缺陷与扩散路径调整是促成该材料高导电性与低能垒的根本原因。
综上,NMR与AIMD模拟从微观和原子层面为实验现象提供了解释:当Li在晶格中适度不足时,结构扭曲和缺陷引入有助于打开更多的扩散通道,降低离子迁移能垒,使Li+得以更快速地在晶格中扩散。这一过程可视为在“高密度网络”中挖通更多“捷径”,从而提升整体材料的离子导通能力。
图4:使用 6Li、89Y 和 79Br MAS NMR 表征 Li3−xYBr6−x(x =0.25、0.35 和 0.5)。
图5:7Li T1 NMR弛豫时间测量用于探测 Li+动力学。
图6:Li3−xYBr6−x 中 Li+ 的均方位移 (MSD)。
5、机械特性与加工性
除了高电导率,论文特别强调了该SE材料的优异机械特性。
- 样品可在室温下被切片成多种厚度(从0.05 mm到1.00 mm),同时保持电导性不受显著影响。
- 冷压方法进一步拓展了成膜工艺,使得该SE在较低压力条件下即可实现与电极紧密接触。对比传统脆性SE材料,这种“如橡皮泥般可塑、如塑料膜般可切片”的特性让制造更薄、更致密的固态电解质膜变得可行。
该特性对工业化应用有重要意义:在商业规模电池制造中,减少SE膜厚、提升膜与电极的界面贴合度对提高电池能量密度和性能稳定性至关重要。过去,很多SE虽然性能优异却不易加工,而本研究证明了通过化学成分微调,可以让SE实现更大的工艺自由度。
6、电化学性能与全电池评估
在实现高离子电导率与优良界面相容性的基础上,论文进一步对采用此类缺锂卤化物电解质的全电池体系进行了性能验证。通过选取典型正极材料(如TiS2)与该SE组装电池并在多种倍率条件下进行循环测试,结果显示:
加入Li缺陷的电解质(如x=0.35的Li2.65YBr5.65)表现出更高的初始放电容量
(约266 mAh/g),且在后续循环中可维持在约250 mAh/g的稳定水平。- 相较无缺陷的Li3YBr6,全电池在快速充放电下依然保持良好性能,反映出离子扩散通道优化为提高倍率性能提供了有力支持。
- 稳定的容量保持率和低界面阻抗共同证实该类SE材料在实际使用条件下同样展现出出色的电化学特性,为未来面向高能量密度、长寿命全固态电池的进一步开发奠定了扎实基础。
图7:以 Li6PS5Cl 为隔膜的 LYB-TiS2 正极电解质的恒电流循环。
【总结】
综合该研究的成果,论文得出以下核心结论与展望:
核心发现:通过在Li3YBr6固态电解质中引入适度的Li缺陷(如x=0.35),可实现高离子电导率(4.49 mS/cm @25℃)、低激活能(0.28 eV)和优良的机械加工性。该材料既保持了卤化物SE固有的高传导特性,又在结构调整下获得如聚合物膜般的切片与成型能力。
科学与应用价值:研究以多重表征和理论计算为基础,从晶体结构变化、离子动力学通道拓展等微观层面阐释了性能提升的内在机制。这一成果为行业提供了新思路:通过理性设计材料组分和缺陷工程,可同时兼顾SE的高性能与可生产加工性。这一点有助于推动固态电池更快走向实际应用。
未来展望:论文指出,这类Li缺陷型卤化物固态电解质材料的研究或可延伸至更广泛的化学体系(如LMXSE族群),并在更高能量密度和更复杂应用场景下继续优化性能。未来的研究可进一步提升其综合性能指标,并开发基于此类SE的高安全、高能量密度全固态电池技术,为下一代储能器件的研发和产业化铺平道路。
总的来说,该研究为如何在高性能与易加工之间取得平衡提供了成功案例,将有助于固态电池技术在实际制造环节更趋成熟,从而为全球新能源产业的发展注入新的动力。
